Employment Opportunities
Job Application
If you would like to print the application instead of applying online then click on the form below and email the application to applications@darbonnewoods.com.
Current Openings
Teacher & Substitute Teacher Positions Open
DWCS is accepting applications for elementary, secondary, and substitute teaching positions! You may apply online by clicking the button above.
Paraprofessional Positions Open
DWCS is accepting applications for paraprofessionals! You may apply online by clicking the button above.
School Bus Drivers
D’Arbonne Woods Charter School is accepting applications for bus drivers. A valid CDL is required of all applicants. You may apply online by clicking the button above.
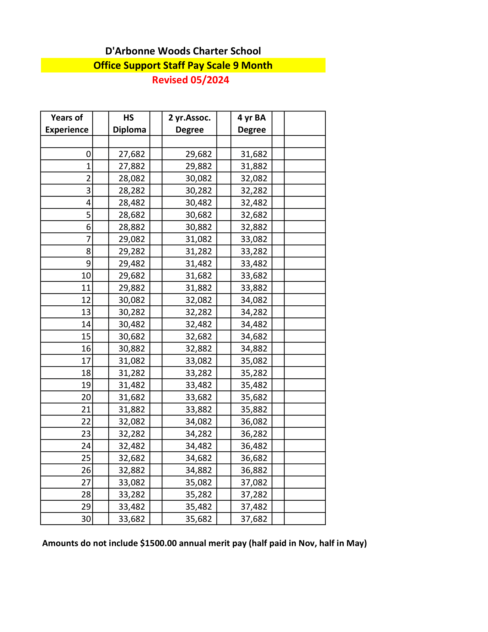
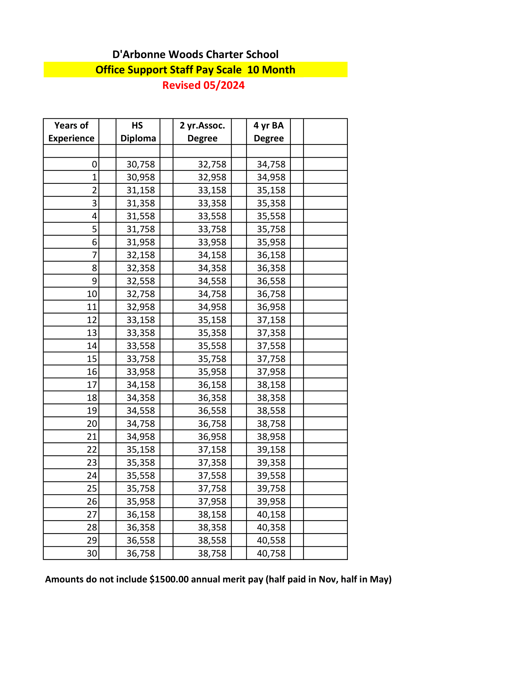
Payscales
Kindergarten-12th Grades
9560 Highway 33
Farmerville, LA 71241
Fax: 318-368-8258
Copyright © 2026 D'Arbonne Woods Charter School
No person shall, on the basis of race, color, religion, gender, age, marital status, disability, political or religious beliefs, national or ethnic origin, or sexual orientation be excluded from participation in, be denied the benefits of, or be subjected to discrimination under any education program or activity, or in any employment conditions or practices conducted by this School, except as provided by law.











